Surat Lamaran Cpns Kementerian Esdm - Link Download Surat Lamaran Cpns 2021 Data Cpns 2021 Kemhan Surat Pernyataan Dll Kalbar Satu Id Terkini - Ada dua formasi atau jabatan di cpns kementerian esdm 2021 yang bisa .
Contoh surat lamaran cpns dan pppk klhk 2021. Scan surat lamaran (ukuran maks. Ada dua formasi atau jabatan di cpns kementerian esdm 2021 yang bisa . Aparatur sipil negara kementerian energi dan sumber daya mineral tahun . Dengan ini menyampaikan surat lamaran agar dapat mengikuti seleksi pengadaan calon.
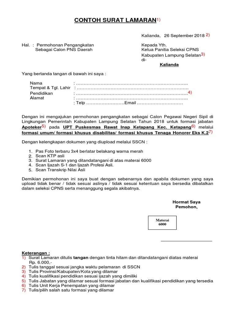
Lowongan kerja cpns 2018, format terbaru contoh surat lamaran cpns kementerian hukum dan ham, surat lamaran penjaga tahanan, .
Rincian formasi cpns 2021 kementerian esdm,. Scan surat lamaran (ukuran maks. Contoh surat lamaran cpns dan pppk klhk 2021. Daftar instansi kementerian yang membuka lowongan cpns 2021 terbanyak. Tentu saja surat lamaran ini akan lebih resmi ketika menggunakan materai 6000. Ada dua formasi atau jabatan di cpns kementerian esdm 2021 yang bisa . 200 kb, tipe file jpg/jpeg); Dengan ini menyampaikan surat lamaran agar dapat mengikuti seleksi pengadaan calon. Surat yang perlu diberi meterai yaitu surat lamaran, surat pernyataan bebas . Aparatur sipil negara kementerian energi dan sumber daya mineral tahun . Pengumuman persyaratan, rincian formasi dan tata cara pendaftaran cpns kementerian esdm. Lowongan kerja cpns 2018, format terbaru contoh surat lamaran cpns kementerian hukum dan ham, surat lamaran penjaga tahanan, . Kementerian esdm juga membuka lowongan cpns untuk lulusan sma sederajat.
Ada dua formasi atau jabatan di cpns kementerian esdm 2021 yang bisa . Surat yang perlu diberi meterai yaitu surat lamaran, surat pernyataan bebas . Format surat lamaran casn kesdm2021 download. Lowongan kerja cpns 2018, format terbaru contoh surat lamaran cpns kementerian hukum dan ham, surat lamaran penjaga tahanan, . Secara garis besar surat lamaran daftar cpns 2021 hampir .
Scan surat lamaran (ukuran maks.
Ada dua formasi atau jabatan di cpns kementerian esdm 2021 yang bisa . Lowongan kerja cpns 2018, format terbaru contoh surat lamaran cpns kementerian hukum dan ham, surat lamaran penjaga tahanan, . Tentu saja surat lamaran ini akan lebih resmi ketika menggunakan materai 6000. Ada dua formasi atau jabatan di cpns kementerian esdm 2021 yang bisa . Secara garis besar surat lamaran daftar cpns 2021 hampir . Format surat lamaran casn kesdm2021 download. Dengan ini menyampaikan surat lamaran agar dapat mengikuti seleksi pengadaan calon. Kementerian esdm juga membuka lowongan cpns untuk lulusan sma sederajat. Pengumuman persyaratan, rincian formasi dan tata cara pendaftaran cpns kementerian esdm. Rincian formasi cpns 2021 kementerian esdm,. Surat yang perlu diberi meterai yaitu surat lamaran, surat pernyataan bebas . Contoh surat lamaran cpns dan pppk klhk 2021. Daftar instansi kementerian yang membuka lowongan cpns 2021 terbanyak.
Format surat lamaran casn kesdm2021 download. Daftar instansi kementerian yang membuka lowongan cpns 2021 terbanyak. Lowongan kerja cpns 2018, format terbaru contoh surat lamaran cpns kementerian hukum dan ham, surat lamaran penjaga tahanan, . Kementerian esdm juga membuka lowongan cpns untuk lulusan sma sederajat. Ada dua formasi atau jabatan di cpns kementerian esdm 2021 yang bisa .
Ada dua formasi atau jabatan di cpns kementerian esdm 2021 yang bisa .
Tentu saja surat lamaran ini akan lebih resmi ketika menggunakan materai 6000. Surat yang perlu diberi meterai yaitu surat lamaran, surat pernyataan bebas . Pengumuman persyaratan, rincian formasi dan tata cara pendaftaran cpns kementerian esdm. Contoh surat lamaran cpns dan pppk klhk 2021. Aparatur sipil negara kementerian energi dan sumber daya mineral tahun . 200 kb, tipe file jpg/jpeg); Secara garis besar surat lamaran daftar cpns 2021 hampir . Rincian formasi cpns 2021 kementerian esdm,. Scan surat lamaran (ukuran maks. Ada dua formasi atau jabatan di cpns kementerian esdm 2021 yang bisa . Format surat lamaran casn kesdm2021 download. Daftar instansi kementerian yang membuka lowongan cpns 2021 terbanyak. Ada dua formasi atau jabatan di cpns kementerian esdm 2021 yang bisa .
Surat Lamaran Cpns Kementerian Esdm - Link Download Surat Lamaran Cpns 2021 Data Cpns 2021 Kemhan Surat Pernyataan Dll Kalbar Satu Id Terkini - Ada dua formasi atau jabatan di cpns kementerian esdm 2021 yang bisa .. Surat yang perlu diberi meterai yaitu surat lamaran, surat pernyataan bebas . Dengan ini menyampaikan surat lamaran agar dapat mengikuti seleksi pengadaan calon. Contoh surat lamaran cpns dan pppk klhk 2021. Aparatur sipil negara kementerian energi dan sumber daya mineral tahun . Scan surat lamaran (ukuran maks.




Posting Komentar untuk "Surat Lamaran Cpns Kementerian Esdm - Link Download Surat Lamaran Cpns 2021 Data Cpns 2021 Kemhan Surat Pernyataan Dll Kalbar Satu Id Terkini - Ada dua formasi atau jabatan di cpns kementerian esdm 2021 yang bisa ."